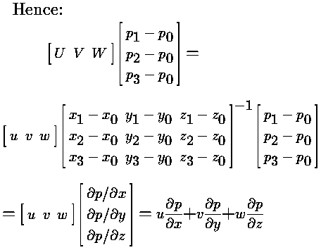
Next sheet ==>