How to simplify $\frac{\partial^m}{\partial y_i^m}\mathrm{div }(A\nabla u({\bf x}({\bf y})))$

It seems to be somewhat far-fetched at first sight, but once you master some first principles, it will become apparent that Tensor Calculus may be indispensable to make these things amenable to systematic treatment. It's not easy to start with, but my personal experience is that it pays off.
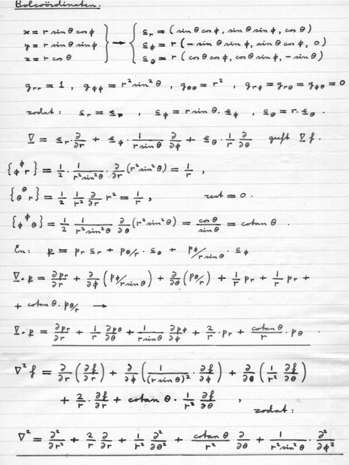
Here are some Wikipedia references, but a good textbook may be preferable. Below is a derivation of the gradient & Laplace operator, for spherical coordinates, as found in my old college notes: