Web Publications / References in 2012
In die Beschränkung zeigt sich erst der Meister
(Goethe)
A Primer of Infinitesimal Analysis
Length of Bisector
/ <NL>
Formule van Mark
</NL>
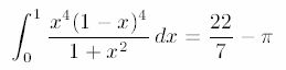
Remarkable integral:
Mathematics, what else ..